1. Друзья, в это тяжёлое и непонятное для всех нас время мы просим вас воздержаться от любых упоминаний политики на форуме, - этим ситуации не поможешь, а только возникнут ненужные ссоры и обиды. Это касается также шуток и юмора на тему конфликта. Пусть войны будут только виртуальными, а политики решают разногласия дипломатическим путём. С уважением, администрация Old-Games.RU.

    Скрыть объявление
  2. Пожалуйста, внимательно прочитайте правила раздела.
  3. Если Вы видите это сообщение, значит, вы ещё не зарегистрировались на нашем форуме.

    Зарегистрируйтесь, если вы хотите принять участие в обсуждениях. Перед регистрацией примите к сведению:
    1. Не регистрируйтесь с никами типа asdfdadhgd, 354621 и тому подобными, не несущими смысловой нагрузки (ник должен быть читаемым!): такие пользователи будут сразу заблокированы!
    2. Не регистрируйте больше одной учётной записи. Если у вас возникли проблемы при регистрации, то вы можете воспользоваться формой обратной связи внизу страницы.
    3. Регистрируйтесь с реально существующими E-mail адресами, иначе вы не сможете завершить регистрацию.
    4. Обязательно ознакомьтесь с правилами поведения на нашем форуме, чтобы избежать дальнейших конфликтов и непонимания.
    С уважением, администрация форума Old-Games.RU
    Скрыть объявление

Психологическое исследование геймеров

Тема в разделе "Флейм", создана пользователем Jahresarbeit, 2 сен 2016.

  1. Jahresarbeit

    Jahresarbeit

    Регистрация:
    2 сен 2016
    Сообщения:
    0
    Здравствуйте!

    Исследование благополучно завершилось, и я, как и обещал, выкладываю результаты того, что получилось.

    Для начала вспомним, в чем заключалось собственно исследование. Необходимо было пройти 2 профессиональных психологических теста (1-й тест на особенности процесса целеполагания, 2-й – личностный опросник, выявляющий черты характера), а также заполнить разработанную мною анкету. Идея была проста: сопоставить информацию, выявленную с помощью анкеты, с данными по опросникам, чтобы определить специфику личностного профиля представителей-геймеров по разным жанрам и по возможности оценить влияние на него других факторов (все в рамках анкеты).

    1 тест + 2 тест + анкету прошли суммарно 56 человек – низкий вам поклон!

    1 тест + анкету прошли суммарно 80 человек – огромное вам спасибо!

    2 тест + анкету прошли суммарно 59 человек – респект!


    Сначала имеет смысл обратиться к общей статистической информации, полученной по анкете. Итак, как можно описать полученную выборку геймеров:

    1) Пол: 101 мужчина и 5 женщин, то есть 95.28 и 4.72% соответственно. К сожалению, такое соотношение вряд ли соответствует реальному соотношению полов среди геймеров (я читал, что на данный момент оно где-то 70 на 30%, если не 60 на 40%), тем не менее расклад получился именно такой. Сразу скажу, что все женские ответы были изъяты из дальнейшей статистической обработки, так как их число не позволяет применять к ним статистические методы анализа, а сливать их к мужчинам неправомерно (по понятным причинам). Но это не значит, что прохождения девушек были напрасны! – наоборот, по ним в дальнейшем будет сделан качественный анализ. Дальнейший анализ был, соответственно, выполнен исключительно на мужчинах.

    2) Возраст получился крайне неравномерным. Для наглядности приведу такую табличку:

    [​IMG]

    ai6.imageban.ru_out_2017_01_29_1307bd997155aa3d83a481243ffc5746.png

    Это не очень хорошо для статистики, потому что по правилам участники исследования должны быть уравнены по возрасту, чтобы избежать влияния сторонних переменных (учебы в институте, работы и так далее). Неучет подобного в большинстве случаев ведет к искажению полученных результатов. Но у меня не было выбора, поэтому в итоге мною было принято решение проигнорировать фактор возраста; только в одном исследовании пришлось из получившейся выборки отобрать людей до 24 лет (об этом ниже, не переключайтесь);


    3) Игровой стаж в итоге считался только суммарный (вопрос10): попытка учесть различные платформы не прошла – абсолютное большинство участников исследования играет только на РС. Однако и он оказался довольно различным, о чем свидетельствует следующая таблица:


    ai6.imageban.ru_out_2017_01_29_b8203de59f45c049fd97d55732230f79.png


    4) Частота игры – часов в день (вопрос8) и дней в неделю (вопрос9) – тоже вышла довольно различной: от 1 до 24 часов в день (хех) и от 1 раза в несколько дней до 7 дней в неделю.

    5) С годами я стал играть… (вопрос 11):


    ai6.imageban.ru_out_2017_01_29_fcf6601d06073136f06f7e512e3d1199.png

    6) Любимый игровой жанр (вопрос12):


    ai6.imageban.ru_out_2017_01_29_9d1406ca378bbc14a49a78efca29033d.png


    7) Нелюбимый игровой жанр (вопрос13):



    ai6.imageban.ru_out_2017_01_29_458027a57dfecdb813dd500faa7ac166.png


    8) Почему вы играете (вопрос14):

    ai3.imageban.ru_out_2017_01_29_2249c877bb02cfea594acfd670b71404.png



    9) Что вас больше всего привлекает в играх (вопрос15):


    ai3.imageban.ru_out_2017_01_29_12b65fed583403af4a33b4ecdbfcacd6.png

    Меня здесь лично удивило, что большинство выбрало пункт «Слежение за сюжетом». Будем надеяться, что это все-таки честные ваши ответы)


    10) Прибегаете ли вы к использованию чит-кодов (вопрос16):


    ai3.imageban.ru_out_2017_01_29_3e8db8d04f703966324c312b36ef564c.png

    Наверное, это слишком социально-желательный был вопрос, хотя анонимность, казалось бы, должна была гарантировать откровенность. Ну или тут не хватает варианта «Пробовал(а) из интереса, но постепенно использовать не стал(а)». Мне кажется, так или иначе читы хоть раз в жизни юзал каждый – хотя бы из любопытства.

    11) Приходилось ли вам донатить (вопрос17):


    ai6.imageban.ru_out_2017_01_29_c916fdd275a0ffcd8e9c5ba444b7d65b.png

    12) Обладание девайсами для геймеров (вопрос18):


    ai6.imageban.ru_out_2017_01_29_de23e9dc2697c5a21ba0dead63637178.png

    Можно сказать, что геймеры весьма по-разному упакованы)


    13) Социальная активность геймеров (форумы, группы в соцсетях – вопрос19):


    ai3.imageban.ru_out_2017_01_29_4282bd451968e6e95984bc4747421603.png


    14) Отношение к киберспорту (вопрос20):


    ai6.imageban.ru_out_2017_01_29_d3f575b4557b56db6f0d972ecf614de0.png


    15) Наконец, игровая зависимость (вопрос21):


    ai6.imageban.ru_out_2017_01_29_967b6e4205bd1e151b520ba4bf2471ac.png

    Эх, вариант «Затрудняюсь» надо было не давать, судя по всему)


    Это были данные по анкете. Теперь, собственно, что я с этим со всем сделал. ВНИМАНИЕ: впереди математическая статистика, то есть таблицы, в которых непонятные слова и числа. Под ними будет расшифровка человеческим языком.

    II. Данные по опроснику целеполагания:

    1) Оценил соотношение стажа на РС (вопрос4), суммарный (вопрос8), частота в день (вопрос9) и в неделю (вопрос10) и показателей по опроснику целеполагания с помощью критерия корреляции Спирмена (распределение отлично от нормального):

    ai6.imageban.ru_out_2017_01_29_144261de99f13dbab14f1c42a3071bde.png
    Вывод: корреляции между показателями особенностей целеполагания и стажем, частотой игры нет.


    2) Разделил геймеров на 2 группы на основании ответов на вопрос16 (про чит-коды; «постоянно + иногда + часто» и «нет») и сравнил (Т-Стьюдента, распределение нормальное):


    ai6.imageban.ru_out_2017_01_29_a119c3eb0be0fdfe54ee1be07931427e.png

    Вывод: существуют достоверные различия между означенными группами по показателям шкалы ДЦ, описывающей дальность планирования – она получилась в среднем выше у тех, кто не использует чит-коды. В остальных случаях достоверных различий не выявлено.


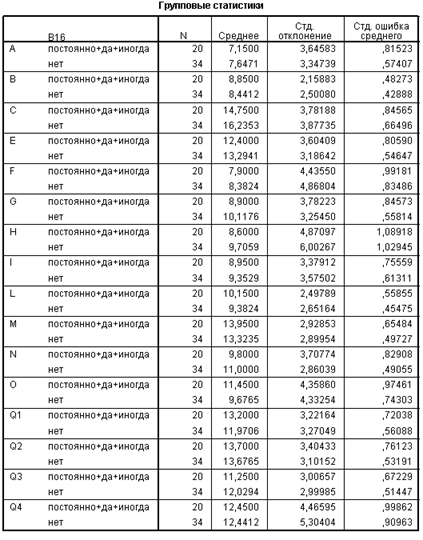
    3) Разделил геймеров на 2 группы на основании ответов на вопрос17 (про донат; «постоянно + иногда + часто» и «нет») и сравнил (Т-Стьюдента, распределение нормальное):



    ai6.imageban.ru_out_2017_01_29_ff1d236a45fbd6d5508d6ff0fa717864.png
    Вывод: существуют достоверные различия между означенными группами по показателям шкалы БЦ, описывающей количество целей – она получилась в среднем выше у тех, кто не донатит.


    4) Разделил геймеров на 2 группы на основании ответов на вопрос21 (про игровую зависимость; «да + затрудняюсь» и «нет») и сравнил (Т-Стьюдента, распределение нормальное):


    ai3.imageban.ru_out_2017_01_29_ace825b16b443574c12aa1f200fd103e.png

    Вывод: существуют достоверные различия между означенными группами по показателям шкалы КЦ, описывающей сложность принятия решений в ситуациях выбора – она получилась в среднем выше у тех, кто посчитал себя зависимым от игр.



    II. Данные по личностному опроснику:

    1) Оценил соотношение стажа на РС (вопрос4), суммарный (вопрос8), частота в день (вопрос9) и в неделю (вопрос10) и показателей по личностному опроснику с помощью критерия корреляции Спирмена (распределение отлично от нормального):



    ai3.imageban.ru_out_2017_01_29_30b0a8fe484ea98f3c3eabbbfa627e8a.png

    Выводы:
    а) есть слабая по силе отрицательная корреляция между ответами по вопросу4 и показателем Q4 («расслабленность – напряженность»): получается, чем больше игровой стаж геймера, тем он в среднем более расслабленный, вялый, апатичный и наоборот;
    б) есть средняя по силе отрицательная корреляция между ответами по вопросу9 и показателем С («эмоциональная нестабильность – эмоциональная стабильность»): получается, чем больше часов в день играет геймер, тем он в среднем более эмоционально неустойчив, импульсивен, переменчив в настроении и наоборот;
    в) есть слабая по силе положительная корреляция между ответами по вопросу9 и показателем О («спокойствие – тревожность»): получается, чем больше часов в день играет геймер, тем он в среднем более беспокойный, тревожный, больше испытывает чувства вины, недовольства собой и наоборот;
    г) есть слабая по силе положительная корреляция между ответами по вопросу9 и показателем Q4 опять («расслабленность – напряженность»): получается, чем больше часов в день играет геймер, тем он в среднем более расслабленный, вялый, апатичный и наоборот;
    д) есть слабая по силе отрицательная корреляция между ответами по вопросу9 и показателем H («робость – смелость»): получается, чем больше часов в день играет геймер, тем он в среднем более робок, застенчив, социально пассивен, предпочитает индивидуальную работу групповой, и наоборот.


    2) Разделил геймеров на 2 группы на основании ответов на вопрос16 (про чит-коды; «постоянно + иногда + часто» и «нет») и сравнил (Т-Стьюдента, распределение нормальное):



    ai6.imageban.ru_out_2017_01_29_d775f8d76c593d8f04d721844dba0bb1.png
    Окно с подсчетом Т-Стьюдента не влезает сюда, поэтому просто напишу Вывод: статистически достоверных различий нет ни по одному из показателей личностного опросника.


    3) Разделил геймеров на 2 группы на основании ответов на вопрос17 (про донат; «постоянно + иногда + часто» и «нет») и сравнил (Т-Стьюдента, распределение нормальное):



    ai6.imageban.ru_out_2017_01_29_0859cd6163cb65699fe2a81fe2fe21cb.png
    Окно с подсчетом Т-Стьюдента не влезает сюда, поэтому просто напишу Вывод: статистически достоверных различий нет ни по одному из показателей личностного опросника.




    4) Разделил геймеров на 2 группы на основании ответов на вопрос21 (про игровую зависимость; «да + затрудняюсь» и «нет») и сравнил (Т-Стьюдента, распределение нормальное):


    ai6.imageban.ru_out_2017_01_29_4b5fef3f6a5a62f1ba3947041299dfa1.png
    Окно с подсчетом Т-Стьюдента опять не влезает сюда, поэтому просто напишу Вывод: статистически достоверных различий нет ни по одному из показателей личностного опросника.



    III. Сравнение геймеров с группой негеймеров.

    Мне удалось набрать выборку из людей, не играющих в игры (да, такие бывают), и провести на них первый опросник – на целеполагание. Полученные на этих участниках результаты были сопоставлены с результатами геймеров (Т-Стьюдент). Это самое чистое исследование из указанных, поскольку тут учтены и фактор пола, и фактор возраста. Итак:



    ai6.imageban.ru_out_2017_01_29_45f37c6b213220a2238936790979b12d.png
    Вывод: достоверных различий между группами геймеров и негеймеров по показателям особенностей целеполагания нет.

    Сравнить личностный особенности геймеров по предпочитаемым жанрам пока не удалось ввиду сложности обсчетов (каждый участник действительно выбрал сразу множество жанров) – надо будет у научника запросить поддержки.


    В сухом остатке выходит, что:

    1) Различий между геймерами-донатчиками и геймерами-недонатчиками по личностному тесту нет, однако опросник целеполагания выявил, что количество целей в различных сферах жизни выше у тех, кто не донатит;
    2) Различий между геймерами-читерами и геймерами-нечитерами по личностному тесту нет, однако опросник целеполагания выявил, что дальность планирования выше у тех, кто не использует чит-коды;
    3) Различий между «игрозависимыми» и «игронезависимыми» геймерами по личностному тесту нет, однако опросник целеполагания выявил, что геймерам, считающим себя зависимым от игр, сложнее дается процесс принятия решения в ситуациях выбора;
    4) Чем больше игровой стаж геймера, тем он в среднем более расслабленный, вялый, апатичный (и наоборот);
    5) Чем больше часов в день играет геймер, тем он в среднем более расслабленный, вялый, апатичный, а еще более эмоционально неустойчив, импульсивен, переменчив в настроении, а также более беспокойный, тревожный, больше испытывает чувства вины, недовольства собой, а к тому же более робок, застенчив, социально пассивен, предпочитает индивидуальную работу групповой (и наоборот);
    6) Различий между геймерами и негеймерами по особенностям целеполагания нет.



    Кажется, это все. Тут, конечно, можно еще долго и много интерпретировать более вдумчиво, но мне для диплома этого должен хватить с лихвой)

    Еще раз огромное спасибо всем участникам исследования за отзывчивость и высокую сознательность!


    Если у вас есть вопросы, можете мне их задать, постараюсь ответить.
     
    Svlad, quazatron, Dimouse и 6 другим нравится это.
  2. Helmut Herr Mannelig

    Helmut

    Регистрация:
    18 мар 2008
    Сообщения:
    7.083
    :facepalm: Британские ученые жуют окурки от зависти.
     
    -Beholder-, Sharp_ey, tuliss и ещё 1-му нравится это.
  3. Nortent

    Nortent

    Регистрация:
    14 июн 2016
    Сообщения:
    95
    Видите, @Helmut, ваш сарказм как раз и указывает на вашу импульсивность, чувство беспокойства и тревоги! Не из-за чувства ли это всё вины на почве игровой зависимости?)

    ---------------------------
    А вообще интересно это всё и для кого-то может даже обнадёживающе. А именно тот момент, что разницы между геймерами и негеймерами нет. То есть негеймеры всё равно все эти ужасные качества, которые возникают от обильных игр, набирают где-то в другом месте.

    Автору большое спасибо, что выложил результаты!
     
    coole и Jahresarbeit нравится это.
  4. coole Трамвайный Пастырь

    coole

    Регистрация:
    12 окт 2015
    Сообщения:
    1.444
    Не понимаю, почему же расслабленность = вялость и апатичность? :unknw: это совершенно противположные по эмоциональной окраске понятия
    Тут скорее дело в том что чем больше у человека стаж в игры, тем меньше это воспринимается как что-то, ммм, будоражащее ум. Именно по этому многие выбрали "слежение за сюжетом". Большинству сюжет, то как он разовьётся, становится куда более интереснее, чем геймплей.
    @Helmut, выйдите из дому, подышите свежим воздухом, уедьте за город на шашлык и перестаньте хоть на пару дней травить людей в интернете.
    Серьёзно, вас никто не трогает, а вы ко всем цепляетесь, подкалываете, всё вам всегда не нравится, а если не к чему прицепится то вы пишете язвительный комментарий, который едва касается темы. Это компенсация чего-то или что?
    Это крайне громкое, яркое, и очень раздражжительное неверование в психологию, сродни феменизму, которые орут без повода, что их права ужимают. Или поведение моего бати, когда речи идёт о лекарствах. Он не верит в медицину. Когда заходит речь о медицине - он сразу заводит громкую речь, в которой называет все лекарства подделками, плюс к тому же не лечится ни от чего, и при этом пьёт всякие настойки-отвары, если всё-таки сильно прижмёт.
    --- добавлено 30 янв 2017, предыдущее сообщение размещено: 30 янв 2017 ---
    антонимы
     
    AlexDC, Grue13 и daemolisher нравится это.
  5. Helmut Herr Mannelig

    Helmut

    Регистрация:
    18 мар 2008
    Сообщения:
    7.083
    @coole, выйдите из дому, сходите в библиотеку, прочитайте пару умных книжек и перестаньте хоть на пару дней нести чушь в интернете.
     
    Sharp_ey нравится это.
  6. Grue13 Ocelote.12

    Grue13

    Регистрация:
    26 апр 2006
    Сообщения:
    10.798
    @Helmut, и всё-таки у меня тоже какое-то впечатление, что у тебя чрезмерное предубеждение против психологии. Может, в детстве один горе-психолог нанёс тебе моральную травму, и ты теперь переносишь своё негативное отношение на всю психологию в целом? Ну или ты в незрелом возрасте какую-то бредовую книжку какого-то "психолога" прочёл (я тоже в таком возрасте иногда всякий бред читал, не понимая, что это бред), по неопытности стал следовать советам из этой книжки и этим нанёс себе моральную травму, и теперь скопом ненавидишь любую психологию?
     
    Последнее редактирование: 30 янв 2017
  7. coole Трамвайный Пастырь

    coole

    Регистрация:
    12 окт 2015
    Сообщения:
    1.444
    @Grue13, либо человек не понимает что психология - это наука о психике и психологической деятельности, и как любая другая наука - она проходит некоторые этапы своего развития, и вполне возможно, что, находится на одном из первых этапов развития, и без исследований собственно дальше и не продвинется.
    либо человеку просто нужно побубнить и он нашёл для этого достаточно субъективный повод
     
    AlexDC и Jahresarbeit нравится это.
  8. Jahresarbeit

    Jahresarbeit

    Регистрация:
    2 сен 2016
    Сообщения:
    0
    "Расслабленный, вялый, апатичный" - это про динамическую, энергетическую сторону личности человека, а не про эмоции. Имеется в виду, что, грубо говоря, такие люди не особо активны и деятельностны, малоинициативны, предпочитают наблюдать за происходящим, чем участвовать в нем самостоятельно.

    Вы правы, это можно понять как несостыковку. Описание эмоциональной сферы человека всегда вызывает проблемы - тонкая материя. Эмоциональная неустойчивость сродни эмоциональной лабильности, то есть такие люди могут испытывать широкий спектр эмоциональных реакций (от эмоционального подъема до упадка) в течение одного дня. А беспокойный и тревожный - это про то, что, скорее всего, эти эмоции негативного спектра имеют тенденцию к более частому возникновению, то есть претендуют на доминирование.

    Надо понимать, как создаются личностные опросники наподобие этого:

    1) в языке (в данном случае в английском) находятся все прилагательные, описывающие характер человека - их несколько тысяч;
    2) на основании словарей, вместе с лингвистами список сокращается до некоторых основных прилагательных (исключение синонимов);
    3) собирают тысячи человек и просят их оценить, какие прилагательные связаны с какими;
    4) далее оценки подвергаются математической обработке, чтобы объединить их в более общие факторы; так прилагательные группируются и образуют кластеры внутри одной черты личности, которые потом и используются для написания интерпретаций.

    В этом может быть проблема при использовании того же теста на людях из другой страны, потому что мы лингвистически другие, соответственно, может быть несоответствие. Тем более опросники переводят не всегда грамотно... Хотя к данному опроснику, как считается, все эти претензии относятся в меньшей степени.
     
  9. coole Трамвайный Пастырь

    coole

    Регистрация:
    12 окт 2015
    Сообщения:
    1.444
    ну так вот и стоить делать приписку, что это эмоциональный портрет, а возможная энергетическая сторона личности.
    Но вот проблема и вовсе в том, что как раз таки "апатия" - вполне конкретный термин, обозначающий полное отстутствие реакции на раздражжители со стороны психики, полная безэмоциональнасть. В то время как остальные термины вроде как описывают что-то близкое к степеням усталости, да и в целом являются нейтральными терминами, когда апатия - это негативный термин.
    Мне кажется, где-то следует провести границу.
     
  10. Bato-San Чеширский волк-киборг

    Bato-San

    Регистрация:
    24 июн 2010
    Сообщения:
    14.136
    это может быть проявлением самостоятельного, инициативного и весьма деятельного участия таки же.
     
    coole нравится это.
  11. Helmut Herr Mannelig

    Helmut

    Регистрация:
    18 мар 2008
    Сообщения:
    7.083
    @Grue13, ага, несомненно, все так и есть. Нам нужно больше диванных аналитиков!
     
    Sharp_ey и Steel Rat нравится это.
  12. Dimouse King of Mice

    Dimouse

    Администратор Переводчик

    Регистрация:
    18 апр 2003
    Сообщения:
    37.608
    Построй такую же зависимость от возраста человека:)
     
    Nortent, tovRobi, Helmut и 3 другим нравится это.
  13. Elel

    Elel

    Регистрация:
    19 авг 2007
    Сообщения:
    506
    Была бы я тут админ - сразу забанила бы за такое.

    Вы правда учитесь на психолога? Теперь понимаю, откуда у нас такие позорные психологи, что получили прозвище психолухи... Знаете, что такое сексизм? Почитайте, обдумайте.

    Пожалела, что участвовала. Спасибо, что плюнули в душу, очень приятно. Надеюсь, вы на сайте не задержитесь. Желанию провала на экзаменах, чтобы ряды психолухов не пополнились ещё одним печальным представителем.
     
    VladimIr V Y, Sharp_ey и Дарк Шнайдер нравится это.
  14. Bato-San Чеширский волк-киборг

    Bato-San

    Регистрация:
    24 июн 2010
    Сообщения:
    14.136
    тут надо было бы добавить в "компьютерные игры". И тут же начать уточнять, что такое "компьютерная игра", что бы попытаться выбраться из факта, что "вся наша жизнь - игра", что использование компьютеров для расчётов зарплаты или экономики целых стран якобы не игровой процесс, что любая сфера человеческой деятельности не может быть классифицирована, как "игра" и, что, при современной информатизации общества, несвязанными ни с каким видом "компьютерных игр" не могут быть даже те, кто считает, что с ними не связан, потому что опосредованно в любом случае является участником игры.

    Даже данный опрос - форма компьютерной игры. Таким образом, прошедшие его - всё же сыграли в компьютерную игру. В результате возвращаемся к "все критяне лжецы".
     
    Dimouse и coole нравится это.
  15. Sharp_ey терять и врать

    Sharp_ey

    Администратор

    Регистрация:
    23 сен 2006
    Сообщения:
    11.107
    Законом не запрещено. Это просто тест на доверчивость, к спаму не приравнять. Я тоже случайно принял участие.

    Это когда что-то там про то, что у женщин якобы есть какие-то права?
     
    AlexDC, Guyver, The Jackson и 3 другим нравится это.
  16. YRuby

    YRuby

    Регистрация:
    22 авг 2015
    Сообщения:
    440
    @Elel, то есть, вас только от вывода триггернуло, а методы и цели вроде как норм и ничего были, раз вы участие в этом принимали? Не хотите психолухов - не потворствуйте им изначально.
     
    AlexDC и coole нравится это.
  17. tovRobi Делающий карусель

    tovRobi

    Регистрация:
    17 апр 2009
    Сообщения:
    1.472
    Это только с ОГ или общее число?

    Почему? Они в первую очередь геймеры в этой работе. Пол это уже боле детальная классификация.

    Почему в этих таблицах такой беспорядок? И диаграммы тоже в случайном порядке. Сложно читать.

    А зря. Нельзя игнорировать параметры которые влияют на результат.

    Вот тут результат немного удивил. Хотя, чесно говоря, вопрос был составлен с уклоном в RPG.

    Тут участники скорее имели ввиду использование читов для прохождения а не просто ради интереса или тестов.

    И всё таки тут не появились ни штурвалы, ни VR, ни даже банальные и очевидные геймпады. Ну как так можно?

    Тут я особо не вникал. Не разбираюсь в этих таблицах.
     
    AlexDC, Wilco и Birm нравится это.
  18. coole Трамвайный Пастырь

    coole

    Регистрация:
    12 окт 2015
    Сообщения:
    1.444
    судя по разбросу графика по возрасту - возраст ни на что не влияет. По крайней мере, в этом опросе.
     
  19. tovRobi Делающий карусель

    tovRobi

    Регистрация:
    17 апр 2009
    Сообщения:
    1.472
    @coole, что-то не вижу графика по возрасту.
     
  20. coole Трамвайный Пастырь

    coole

    Регистрация:
    12 окт 2015
    Сообщения:
    1.444
    @tovRobi, ищи под этими словами:
     
  1. На этом сайте используются файлы cookie, чтобы персонализировать содержимое, хранить Ваши предпочтения и держать Вас авторизованным в системе, если Вы зарегистрировались.
    Продолжая пользоваться данным сайтом, Вы соглашаетесь на использование нами Ваших файлов cookie.
    Скрыть объявление