1. Друзья, в это тяжёлое и непонятное для всех нас время мы просим вас воздержаться от любых упоминаний политики на форуме, - этим ситуации не поможешь, а только возникнут ненужные ссоры и обиды. Это касается также шуток и юмора на тему конфликта. Пусть войны будут только виртуальными, а политики решают разногласия дипломатическим путём. С уважением, администрация Old-Games.RU.

    Скрыть объявление
  2. Пожалуйста, внимательно прочитайте правила раздела.
  3. Если Вы видите это сообщение, значит, вы ещё не зарегистрировались на нашем форуме.

    Зарегистрируйтесь, если вы хотите принять участие в обсуждениях. Перед регистрацией примите к сведению:
    1. Не регистрируйтесь с никами типа asdfdadhgd, 354621 и тому подобными, не несущими смысловой нагрузки (ник должен быть читаемым!): такие пользователи будут сразу заблокированы!
    2. Не регистрируйте больше одной учётной записи. Если у вас возникли проблемы при регистрации, то вы можете воспользоваться формой обратной связи внизу страницы.
    3. Регистрируйтесь с реально существующими E-mail адресами, иначе вы не сможете завершить регистрацию.
    4. Обязательно ознакомьтесь с правилами поведения на нашем форуме, чтобы избежать дальнейших конфликтов и непонимания.
    С уважением, администрация форума Old-Games.RU
    Скрыть объявление

Hard Сборка игрового компьютера на базе существующего

Тема в разделе "Hard & Soft", создана пользователем kurtkurt222, 16 фев 2017.

  1. Колючий

    Колючий

    Регистрация:
    6 май 2008
    Сообщения:
    7.280
  2. tuliss

    tuliss

    Регистрация:
    24 фев 2014
    Сообщения:
    5.975
    примерно

    pb1338212981.jpg


    Если БП по классики в верху, то просто снизу под ним ставится кулер + забор воздуха с передней панели. Вверх не у всех есть выход под воздух, но многие в боку вверху делают отверстия.
    Берут шуруповерт или дель и вперед :)
    --- добавлено 22 окт 2017, предыдущее сообщение размещено: 22 окт 2017 ---
    Кстатиm забор воздуха сразу на проц/карты, вопрос очень спорный.
     
  3. Dagoth-Slayer

    Dagoth-Slayer

    Регистрация:
    27 дек 2013
    Сообщения:
    1.475
    Доброго времени суток. Чтобы не плодить темы, спрошу здесь.
    Собственно, на сколько я могу "прокачать" свой нынешний компьютер (тот что в профиле указан) для игры в более-менее новые игры? К примеру Ведьмак 3 или Дум.
    Можно ли мне заменить процессор и на какой или проще продать этот компьютер и купить мощнее?
     
  4. Ogr 2 лол

    Ogr 2

    Хелпер Переводчик

    Регистрация:
    25 мар 2008
    Сообщения:
    6.842
    @Dagoth-Slayer, если <AMD Athlon 2 750K> (3.4Ghz) OEM - это х4, то добив озу до 8гб, глядишь на минимальных в 720р и вытянет 20-40фпс.
     
  5. IdeaGen

    IdeaGen

    Регистрация:
    4 фев 2014
    Сообщения:
    1.367
    @Dagoth-Slayer, не зная точно модели мамки, теоретически до 32 гиг озу и многоядерный процессор, а уж насколько - зависит от мамки. по идее у тебя +100500 процессоров на выбор будет. потенциально не только ведьмака потянет, но все современные игры.
     
  6. Dagoth-Slayer

    Dagoth-Slayer

    Регистрация:
    27 дек 2013
    Сообщения:
    1.475
    @Ogr 2, @IdeaGen, отчет AIDA подойдет? Полнее некуда вроде.)
    Вечером напишу.
    --- добавлено 3 ноя 2017, предыдущее сообщение размещено: 3 ноя 2017 ---
    @Ogr 2, X4 Phenom вроде он. Вечером напишу, забыл точные характеристики уже. Но Ведьмака на минимальных (самых-самых) он тянет до прихода в Новиград. Дальше слайд-шоу просто.
     
  7. Ogr 2 лол

    Ogr 2

    Хелпер Переводчик

    Регистрация:
    25 мар 2008
    Сообщения:
    6.842
     
  8. Dagoth-Slayer

    Dagoth-Slayer

    Регистрация:
    27 дек 2013
    Сообщения:
    1.475
    Системная плата:
    Тип ЦП QuadCore AMD Athlon X4 740, 3700 MHz (37 x 100)
    Системная плата MSI FM2-A55M-E33 (MS-7721) (1 PCI, 1 PCI-E x1, 1 PCI-E x16, 2 DDR3 DIMM, Audio, Video, Gigabit LAN)
    Чипсет системной платы AMD A55, AMD K15.1
    Системная память 4049 МБ (DDR3-1600 DDR3 SDRAM)
    DIMM4: Ramos EWB4GB681CA3-16IC 4 ГБ DDR3-1600 DDR3 SDRAM (11-11-11-28 @ 800 МГц) (10-10-10-27 @ 761 МГц) (9-9-9-24 @ 685 МГц) (8-8-8-22 @ 609 МГц) (7-7-7-19 @ 533 МГц) (6-6-6-16 @ 457 МГц)
    Тип BIOS AMI (10/12/2013)
    Коммуникационный порт Nuvoton Communications Port (COM1)
     
  9. tuliss

    tuliss

    Регистрация:
    24 фев 2014
    Сообщения:
    5.975
    Памяти мало. Под игру надо как минимум 6 отдать. Итого у тебя должно быть в районе 12gb.
    Карту я бы то же чуть улучшил ну и гнать проц , насколько можно.
     
    Dagoth-Slayer нравится это.
  10. Ogr 2 лол

    Ogr 2

    Хелпер Переводчик

    Регистрация:
    25 мар 2008
    Сообщения:
    6.842
    а еще 6 под браузер что ли? лол. у меня, к примеру, вин7 1,2гб занимает.
     
  11. tuliss

    tuliss

    Регистрация:
    24 фев 2014
    Сообщения:
    5.975
    Нет можно конечно поставить 4+4+2 или 4+2+2+2
    Но как по мне , если надо покупать 8 и 4 оставить.
     
  12. Ogr 2 лол

    Ogr 2

    Хелпер Переводчик

    Регистрация:
    25 мар 2008
    Сообщения:
    6.842
    эм, что? в мать с 2 слотами?!

    и вообще, гугиль говорит что EWB4GB681CA3-16IC одна 4гб планка. и достаточно просто еще 1 аналогичную за 1,6кр докупить.
     
    Dagoth-Slayer нравится это.
  13. MisterGrim Very old

    MisterGrim

    Legacy

    Регистрация:
    29 ноя 2007
    Сообщения:
    25.423
    Для Doom 8 Гб за глаза (да и к процессору он, в общем, не так уж требователен). Вот видеокарта — это да.
     
    Dagoth-Slayer нравится это.
  14. IdeaGen

    IdeaGen

    Регистрация:
    4 фев 2014
    Сообщения:
    1.367
    да, проц у тебя сейчас неплохой, хотя есть возможность воткнуть A10-6800K/B (менее 70уе на али). потому увеличивай озу, и не марайся 4кой (потом хрен сдыхаешь), бери сразу 8гиг. а видеокарта на сегодняшний день предельная. желательней 750ti/670. хотя я бы не морочился в начале с видеокартой - озу важней. поставил память - протестил игры - сделал вывод.
     
    Dagoth-Slayer нравится это.
  15. Dagoth-Slayer

    Dagoth-Slayer

    Регистрация:
    27 дек 2013
    Сообщения:
    1.475
    @IdeaGen, то есть начать с озу предлагаешь? А проц с али не опасно покупать? Китай же. Но посмотрю, спасибо. С бюджетом определюсь, напишу точнее. Так что можете даже еще вариантов компоновки накидать.
    Просто в железках компа я путаюсь, уж больно их много, а какая лучше по соотношению цена/качество/производительность, не ясно.
     
  16. tuliss

    tuliss

    Регистрация:
    24 фев 2014
    Сообщения:
    5.975
    Да я не смотрел на мать ибо пофиг Если там два слота, то тем более что за вопросы почему 12 ?
    тогда 8+4.
    --- добавлено 4 ноя 2017, предыдущее сообщение размещено: 4 ноя 2017 ---
    Озу+ видекарта, хотя бы до 1050 из современного.
    --- добавлено 4 ноя 2017 ---
    Doom был хорошо оптимизирован и он больше исключение чем правило. На вулкане он вообще отлично бегает.
    Если взять WatchDog , то там все плохо. Другая крайность.
     
  17. Ogr 2 лол

    Ogr 2

    Хелпер Переводчик

    Регистрация:
    25 мар 2008
    Сообщения:
    6.842
    разница в производительности относительно твоей 650:
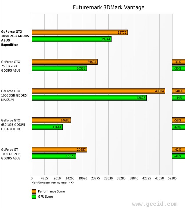
    ai97.fastpic.ru_big_2017_1104_e0_370a92f7752a760f96e05e3911ff0ae0.jpg
    750ти для средних в 1920×1080 20-40 фпс. 1060 для максимальных в 1920×1080 40-80 фпс.
     
    Dagoth-Slayer нравится это.
  18. Dagoth-Slayer

    Dagoth-Slayer

    Регистрация:
    27 дек 2013
    Сообщения:
    1.475
    @tuliss, ясно. Двухгиговой видеокарты хватит на новые игры (на средних настройках), как думаешь? Просто если брать все сразу, то проще продать этот и купить новый пк. Видел в магазине видяшку за 23 т.р. Но если учесть что системник мне обошелся всего в 15 (со всей периферией 25 т.р точно не помню уже), то апгрейд теряет смысл. В принципе я рассчитываю на Ведьмака 3, и игры до 2015 года. Может быть еще Дум и Фолл новые посмотрю. А так мне игр хватит, еще не все любимые серии закончил.
    --- добавлено 4 ноя 2017, предыдущее сообщение размещено: 4 ноя 2017 ---
    @Ogr 2, понятно.
     
  19. tuliss

    tuliss

    Регистрация:
    24 фев 2014
    Сообщения:
    5.975
    Ну я бы в карту вложился. Мне сложно сказать на тему AMD, сможет ли карта раскрыть максимально свой потенциал, но например 3770k в разгоне , вполне вытягивает 1080 . С 1080ti уже в прицепе нет существенной разницы. Те следующие поколение карт от nvidia, ставят крест для такой системы.

    Потом зависит все от того, насколько ты хочешь качественно играть. Ведьмак все же красивая игра и требовательная к ресурсам. Да можно чем-то жертвовать, но лично в 40fps мне сложно играть в ведьмака.
    Скажу больше, есть игры которые сделаны и под консоль и выдает на пк в vsync 30 кадров, различишь и fps уходит в 100, хотя оно не надо. Приходится ставить галки в драйверах. Что мешает сделать им vsync 60 для пк , не очень понятно.
     
  20. Ogr 2 лол

    Ogr 2

    Хелпер Переводчик

    Регистрация:
    25 мар 2008
    Сообщения:
    6.842
    1050 - 8кр. 1060 - 15кл. куда тебе на 23 с таким цп?
    возьми БУ 750 за 4кр и память 4гб за 2кр, тебе хватит.
     
  1. На этом сайте используются файлы cookie, чтобы персонализировать содержимое, хранить Ваши предпочтения и держать Вас авторизованным в системе, если Вы зарегистрировались.
    Продолжая пользоваться данным сайтом, Вы соглашаетесь на использование нами Ваших файлов cookie.
    Скрыть объявление